Introduction
The ADAR (Adenosine Deaminase Acting on RNA) family comprises enzymes that catalyze the deamination of adenosine (A) to inosine (I) within double-stranded RNA, a process known as A-to-I RNA editing. In mammals, three members, ADAR1 (p150 and p110), ADAR2, and ADAR3, have been identified. ADAR1 and ADAR2 possess catalytic activity, while ADAR3 likely serves a regulatory function. Structurally, ADAR proteins contain double-stranded RNA-binding domains and a deaminase domain that confer substrate specificity 1.
SignalChem Biotech, now part of Sino Biological, provides a dedicated ADAR inhibitor screening service to accelerate drug discovery in this emerging field. Utilizing our proprietary ADAR assay platform, we precisely quantify ADAR1- and ADAR2-mediated A-to-I editing activity using a dsRNA substrate, offering a robust, reproducible, and high-throughput solution for compound evaluation. This service enables researchers to efficiently identify and characterize ADAR inhibitors, supporting the development of innovative therapies for cancer, autoimmune, and viral diseases.

Figure 1. ADAR1 maintains immune homeostasis by controlling dsRNA-triggered antiviral signaling. (A) The cytoplasmic p150 and nuclear p110 isoforms edit or bind dsRNA, preventing activation of RIG-I, OAS/RNase L, and PKR pathways. (B) Without ADAR1, endogenous dsRNAs from Alu or mitochondrial repeats activate these sensors, inducing interferon responses, translation arrest, and apoptosis 2.
Physiological and Pathological Roles of ADAR (H2)
Physiologically, ADAR1 and ADAR2 regulate RNA splicing, stability, and translation, contributing to neural development, hematopoiesis, and innate immune homeostasis. ADAR1 edits endogenous double-stranded RNA to prevent inappropriate activation of MDA5-mediated interferon signaling, while ADAR2 modulates neurotransmission through editing of ion channel transcripts such as GRIA2 2,3. Pathologically, loss or mutation of ADAR1 leads to excessive interferon responses and autoimmune diseases like Aicardi-Goutières syndrome, whereas dysregulated RNA editing promotes tumor growth, metastasis, and resistance to therapy in various cancers. In viral infections, altered ADAR1 activity can either suppress antiviral immunity or facilitate viral persistence, highlighting its complex role in health and disease 4.
Bench to Bedside (H2)
Recent clinical trials targeting ADAR and its inhibitors reflect an expanding effort to translate RNA editing into disease therapy. In cancer, small molecule inhibitors such as AVA-ADR-703 and CL-AD-100 are being tested in preclinical and planned clinical studies for malignancies and immunotherapy resistance, aiming to reverse ADAR1-driven immune evasion and drug resistance. On the other hand, ProQR Therapeutics is developing its proprietary Axiomer® platform, which harnesses endogenous ADAR enzymes to precisely edit RNA sequences, enabling the correction of disease-causing mutations in a range of genetic and liver-related disorders 5. While no FDA-approved ADAR inhibitor currently exists, ongoing first-in-human trials are evaluating safety, efficacy, and editing specificity, with future applications likely to extend to cancer, autoimmune, and viral diseases.
| Drug | Target | Mode of action | Drug Type | Active Indication | Highest Phase |
| ADR-001 | ADAR | inhibitors | Mesenchymal stem cell therapy | Decompensated cirrhosis of liver | Phase 2 |
| KRRO-110 | ADAR | modulators | RNA editing | Alpha 1-Antitrypsin Deficiency | Phase 1/2 |
| ZYS-1 | ADAR | inhibitors | Small molecule drug | Solid tumor | Prostatic Cancer | IND Approval |
| ADAR1 inhibitors (Dark Blue Therapeutics) | ADAR | inhibitors | Small molecule drug | Solid tumor | Preclinical |
| AVA-ADR-703 | ADAR1 p150 | inhibitors | Small molecule drug | Neoplasms | Preclinical |
| ADAR1 Inhibitor(Covant) | ADAR | inhibitors | Chemical drugs | Neoplasms | Preclinical |
| CL-AD-100 | ADAR1 p150 | inhibitors | Small molecule drug | Neoplasms | Preclinical |
| ADAR1 inhibitors therapy(BridGene Biosciences) | ADAR | inhibitors | Chemical drugs | Neoplasms | Preclinical |
| RP05129 | ADAR | inhibitors | Small molecule drug | Neoplasms | Preclinical |
| Z-PROTAC | ADAR | degraders | Proteolysis-targeting chimeras (PROTAC) | Neoplasms | Preclinical |
| Target ADAR1(858 Therapeutics) | ADAR | inhibitors | Small molecule drug | Solid tumor | Preclinical |
| ADAR1 inhibitor(Risen) | ADAR | inhibitors | Small molecule drug | Neoplasms | Preclinical |
| AVA-ADR-001 | ADAR1 p150 | inhibitors | Small molecule drug | Neoplasms | Melanoma | Preclinical |
| ADAR1 inhibitors (Accent Therapeutics) | ADAR | inhibitors | Small molecule drug | Non-Small Cell Lung Cancer | Ovarian Cancer | Squamous Cell Carcinoma of Head and Neck | Triple Negative Breast Cancer | Preclinical |
| RtABE | ADAR | inhibitors | Transformer Base Editor | Mucopolysaccharidosis I | Preclinical |
| ADAR1 Inhibitor(China Pharmaceutical University) | ADAR | inhibitors | Small molecule drug | Prostatic Cancer | Preclinical |
| WO2024017817 | ADAR | – | Oligonucleotide | Alpha 1-Antitrypsin Deficiency | Discovery |
| ADAR1 antagonist (Silicon Therapeutics) | ADAR | inhibitors | Small molecule drug | – | Pending (in Preclinical) |
SignalChem’s Innovative Platform for ADAR Inhibitor Screening
ADAR inhibitors include small molecules targeting the Zα or deaminase domains, antisense oligonucleotides (ASO) that block substrate binding, and emerging PROTAC-based degraders designed to selectively eliminate ADAR1 protein 1. High-throughput screening methods for ADAR inhibitors commonly employ luminescent reporter assays in vitro, engineered cell lines or molecular docking approaches to rapidly identify compounds that suppress ADAR-mediated RNA editing activity 6, 7. The proprietary SignalChem ADAR assay platform has been extensively validated for ADAR1 (p150 and p110) and ADAR2 variants, exhibiting high tolerance to a range of organic solvents. Utilizing this robust system, SignalChem has characterized multiple ADAR-targeting compounds, demonstrating inhibitory potencies consistent with established literature data.
Based on this innovative platform, SignalChem Biotech provides a dedicated ADAR inhibitor screening service to accelerate drug discovery. Partner with SignalChem to advance your therapeutic discovery in ADAR-related diseases through our state-of-the-art screening technology.
Learn more at: https://www.sinobiological.com/category/ads/adar-enzymes
SignalChem’s Assay Platform

Figure 2. SignalChem assay platform for screening inhibitors against ADAR RNA editing activity. The RNA
editing assay is a colorimetric assay that can be used to detect activity/inhibition of total ADAR enzymes
using cell extracts or purified ADAR isoforms (ADAR1 (p110), ADAR1 (p150), ADAR2 and their
mutants/variants). The assay directly measures total A-to-I editing activity via detection of the ADAR-
converted end products. The assay is highly sensitive with a detection limit as low as 0.1 ng/μL ADAR in
the sample. The assay is performed in an 8-well microplate strip format and can be easily adapted to
medium-to-high throughput screening procedure.
Validated Enzyme Activity Performance

Figure 3. The activity of ADAR1 (signal window ≥10) and ADAR2 (signal window ≥20) measured with
SignalChem assay platform
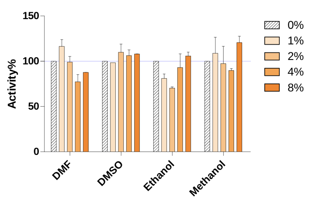
Broad Organic Solvents Compatibility

Figure 4. The tolerance of SignalChem assay platform to DMSO, methanol, DMF, and ethanol
Selective Enzyme Inhibition

Figure 5. Left: Selective inhibition of ADAR family enzymes by lithospermic acid. Right: Inhibitory effect of
lithospermic acid on the RNA deaminase activity of ADAR1 (p150).
Featured Products

References
- Rehwinkel, J., & Mehdipour, P. (2025). ADAR1: from basic mechanisms to inhibitors. Trends in cell biology, 35(1), 59–73. https://doi.org/10.1016/j.tcb.2024.06.006
- Lamers, M. M., van den Hoogen, B. G., & Haagmans, B. L. (2019). ADAR1: “Editor-in-Chief” of Cytoplasmic Innate Immunity. Frontiers in immunology, 10, 1763. https://doi.org/10.3389/fimmu.2019.01763
- Goldeck, M., Gopal, A., Jantsch, M. F., Mansouri Khosravi, H. R., Rajendra, V., & Vesely, C. (2022). How RNA editing keeps an I on physiology. American journal of physiology. Cell physiology, 323(5), C1496–C1511. https://doi.org/10.1152/ajpcell.00191.2022
- Song, B., Shiromoto, Y., Minakuchi, M., & Nishikura, K. (2022). The role of RNA editing enzyme ADAR1 in human disease. Wiley interdisciplinary reviews. RNA, 13(1), e1665. https://doi.org/10.1002/wrna.1665
- Rainaldi, J., Mali, P., & Nourreddine, S. (2025). Emerging clinical applications of ADAR based RNA editing. Stem cells translational medicine, 14(5), szaf016. https://doi.org/10.1093/stcltm/szaf016
- Hong, X., Wei, Z., He, L., Bu, Q., Wu, G., Chen, G., He, W., Deng, Q., Huang, S., Huang, Y., Yu, C., Luo, X., & Lin, Y. (2024). High-throughput virtual screening to identify potential small molecule inhibitors of the Zα domain of the adenosine deaminases acting on RNA 1(ADAR1). European journal of pharmaceutical sciences : official journal of the European Federation for Pharmaceutical Sciences, 193, 106672. https://doi.org/10.1016/j.ejps.2023.106672
- Fritzell, K., Xu, L. D., Otrocka, M., Andréasson, C., & Öhman, M. (2019). Sensitive ADAR editing reporter in cancer cells enables high-throughput screening of small molecule libraries. Nucleic acids research, 47(4), e22. https://doi.org/10.1093/nar/gky1228
